百家乐赌场
版权声明
编者说明
编辑委员会及编辑工作人员
最新书目
统计图
生产总值(亿元)
人均生产总值(元)
三次产业比例(%)
农林牧渔业总产值(亿元)
工业总产值(亿元)
社会消费品零售总额(亿元)
一般公共预算总收入(亿元)
一般公共预算收入(亿元)
一般公共预算支出(亿元)
进出口总值(亿美元)
出口总值(亿美元)
实际利用外资(验资口径,万美元)
城乡居民收入(元)
金融机构人民币存款余额(亿元)
金融机构人民币贷款余额(亿元)
普通高校在校学生(万人)
卫生医疗机构(个)
卫生技术人员(人)
卫生机构医疗床位(张)
综 合
1-1 行政区划
1-2 国民经济和社会发展总量和速度指标
1-3 各个计划时期主要经济指标总量
1-4 各个计划时期主要经济指标年均发展速度
1-5 国民经济主要比例关系
1-6 主要经济指标人均值
1-7 平均每天主要社会经济活动
1-8 主要年份工农林牧渔业总产值
主要统计指标解释
国民经济核算
2-1 总产出中间投入率和增加值率
2-2 主要年份地区生产总值
2-3 主要年份地区生产总值指数(以上年为100)
2-4 主要年份地区生产总值指数(以1952年为100)
2-5 主要年份地区生产总值构成
2-6 主要年份第三产业增加值构成
2-7 各个计划时期地区生产总值平均发展指数
2-8 地区生产总值项目构成
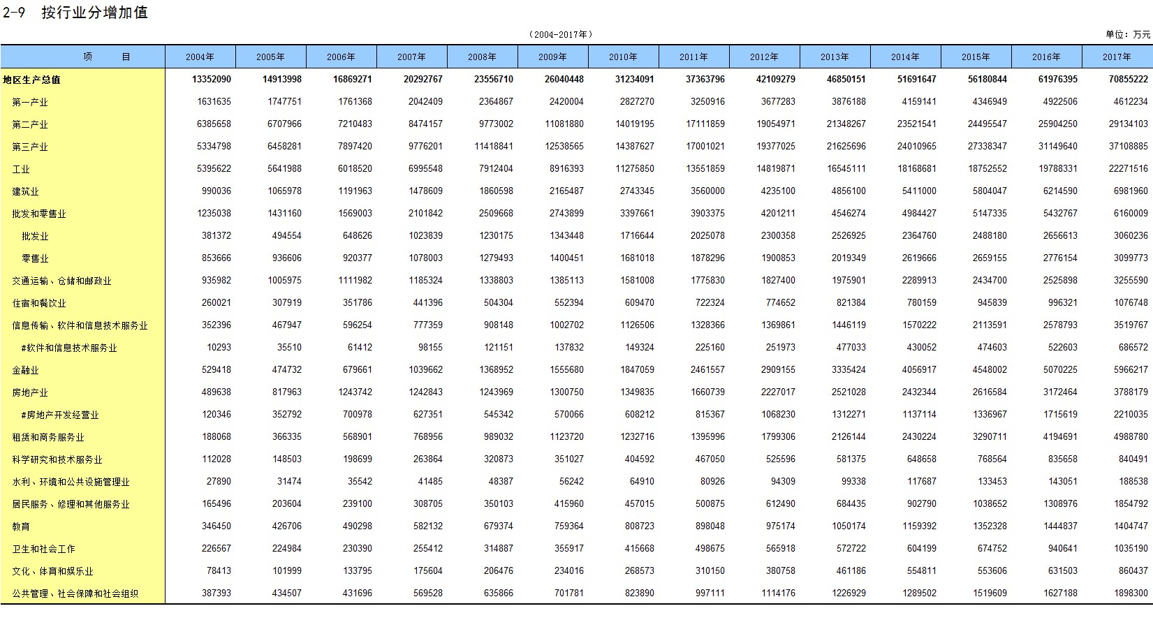
2-9 按行业分增加值
2-10 最终消费与资本形成总额
2-11 最终消费与资本形成总额指数
2-12 最终消费与资本形成总额指数
2-13 居民消费水平
2-14 三次产业对经济增长贡献
主要统计指标解释
人 口
3-1 主要年份户籍总人口
3-2 主要年份户籍人口构成比重
3-3 户籍人口变动情况
3-4 常住人口和城镇化率
主要统计指标解释
就业与职工工资
4-1 全社会从业人员
4-2 城镇非私营单位在岗职工人数
4-3 按三次产业分城镇非私营单位在岗职工人数及构成
4-4 城镇非私营单位从业人员
4-5 城镇非私营单位在岗职工人数
4-6 城镇非私营单位在岗职工
4-7 城镇非私营单位女性从业人员
4-8 城镇非私营单位其他从业人员
4-9 城镇非私营单位从业人员劳动报酬
4-10 城镇非私营单位在岗职工工资总额
4-11 按行业分城镇非私营单位在岗职工工资总额
4-12 城镇非私营单位在岗职工工资总额
4-13 城镇非私营单位从业人员人均劳动报酬
4-14 按行业分城镇非私营单位在岗职工平均工资
4-15 城镇非私营单位在岗职工平均工资
4-16 按行业分城镇非私营单位在岗职工平均工资
4-17 按县(市)区分城镇非私营单位从业人员及劳动报酬
主要统计指标解释
农林牧渔业
5-1 农村基层基本情况
5-2 农业机械拥有量
5-3 农业基础设施
5-4 主要年份农作物播种面积
5-5 粮食作物播种面积
5-6 经济作物和其他农作物播种面积
5-7 各类水果种植面积
5-8 主要年份茶叶水果种植面积及产量
5-9 水产品养殖面积
5-10 农林牧渔业增加值
5-11 主要年份农林牧渔业总产值
5-12 主要年份农林牧渔业总产值指数(以上年为100)
5-13 主要年份农林牧渔业总产值指数(以1952年为100)
5-14 农林牧渔业分项产值
5-15 主要年份粮食总产量及单位播种面积产量
5-16 各类粮食产量
5-17 主要年份经济作物总产量及单位播种面积产量
5-18 茶叶水果食用菌蔬菜产量
5-19 主要年份林业 牧业 水产品生产情况
5-20 造林面积
5-21 主要林产品产量
5-22 主要畜禽产品产量
5-23 年末畜禽存栏数
5-24 淡水产品产量
5-25 海水产品产量
5-26 按县(市)区分农林牧渔业总产值
5-27 按县(市)区分主要农产品产量
5-28 按县(市)区分年末畜禽存栏数
5-29 按县(市)区分粮食播种面积和产量
主要统计指标解释
工业与交通
6-1 主要年份工业总产值和工业增加值
6-2 “规模以上”工业企业单位数
6-3 “规模以上”工业主要产品产量
6-4 “规模以上”工业主要经济指标
6-5 按行业分“规模以上”工业主要经济指标
6-6 规模以上工业主要经济效益指标
6-7 按行业分“规模以上”工业企业主要经济效益指标
6-8 规模以上工业企业能源购进、消费与库存
6-9 规模以上工业企业主要能源品种分行业消费量
6-10 按县(市)区分“规模以上”工业主要财务指标
6-11 规模以上工业企业科技活动情况
6-12 规模以上非工业企业科技活动情况
6-13 民用车辆拥有量
6-14 运输线路长度
主要统计指标解释
房地产开发投资
7-1 房地产开发投资情况
7-2 房地产开发企业主要指标
7-3 房地产开发企业资金来源情况
7-4 房地产开发企业主要财务指标
主要统计指标解释
建筑业
8-1 按登记注册类型分建筑业总承包、专业承包施工企业生产情况
8-2 按行业分建筑业总承包、专业承包施工企业生产情况
8-3 按企业资质等级分建筑业总承包施工企业生产情况
8-4 按企业资质等级分建筑业专业承包施工企业生产情况
8-5 按县(市)区分建筑业总承包、专业承包施工企业生产情况
8-6 建筑业盈利总承包、专业承包施工企业数及利润总额
8-7 按行业分劳务分包企业主要指标
8-8 按登记注册类型分建筑业总承包、专业承包施工企业主要财务指标
8-9 按行业分建筑业总承包、专业承包施工企业主要财务指标
8-10 按企业资质等级分建筑业总承包施工企业主要财务指标
8-11 按企业资质等级分建筑业专业承包施工企业主要财务指标
8-12 按县(市)区分建筑业总承包、专业承包施工企业主要财务指标
主要统计指标解释
批发零售、住宿餐饮与旅游业
9-1 主要年份社会消费品零售总额
9-2 限额以上批发企业基本情况
9-3 限额以上零售企业基本情况
9-4 限额以上批发零售贸易业商品销售类值
9-5 限额以上批发零售贸易业商品购进、销售库存数量
9-6 限额以上批发企业年末资产及负债情况
9-7 限额以上批发企业财务状况
9-8 限额以上零售企业年末资产及负债情况
9-9 限额以上零售企业财务状况
9-10 限额以上住宿业基本情况
9-11 限额以上餐饮业企业基本情况
9-12 限额以上住宿业经营情况
9-13 限额以上餐饮业企业经营情况
9-14 限额以上住宿企业年末资产及负债情况
9-15 限额以上餐饮企业年末资产及负债情况
9-16 限额以上住宿企业财务状况
9-17 限额以上餐饮企业财务状况
9-18 主要年份按县(市)区分社会消费品零售总额
9-19 接待境外旅游人数
9-20 按国别(地区)分接待外国者旅游人数
主要统计指标解释
对外经济
10-1 进出口总额
10-2 按主要国别(地区)分出口商品贸易额
10-3 按主要国别(地区)分进口商品贸易额
10-4 外商直接投资合同数
10-5 外商直接投资合同金额
10-6 按行业分外商直接投资合同数
10-7 按行业分外商直接投资合同金额
10-8 按国别(地区)分外商直接投资合同数
10-9 按国别(地区)分外商直接投资合同金额
10-10 实际利用外商直接投资
10-11 按国别(地区)分实际利用外商直接投资
10-12 按县(市)区分外商直接投资合同数
10-13 按县(市)区分外商直接投资合同金额
10-14 按县(市)区分实际利用外资
主要统计指标解释
价格指数
11-1 主要物价总指数(1978年=100)
11-2 主要物价总指数(上年=100)
11-3 市区商品零售价格分类指数
11-4 市区居民消费价格分类指数
11-4 续表
11-5 城市居民消费价格分类指数
11-5 续表
11-6 市区商品零售价格分类指数
11-6 续表
主要统计指标解释
财政金融
12-1 主要年份财政收入及支出总额
12-2 财政收入主要指标
12-3 财政支出主要指标
12-4 按县(市)区分财政收入主要指标
12-5 按县(市)区分财政支出主要指标
12-6 主要年份金融机构存贷款与现金收支
12-7 金融机构信贷资金来源与资金运用
12-8 按县(市)区分金融机构信贷资金主要指标
主要统计指标解释
人民生活
13-1 人民生活基本情况
13-2 城乡居民家庭人均收入
13-3 主要年份城镇居民家庭基本情况
13-4 城镇居民人均收支情况
13-5 按县(市)区分城镇居民人均收支情况
13-6 农村居民家庭基本情况
13-7 农村居民人均收支情况
13-8 按县(市)区分农村居民人均收支情况
主要统计指标解释
科技、教育与文化
14-1 地方国有企事业单位专业技术人员
14-2 按行业分地方国有企事业单位各行业技术人员
14-3 各类型专利申请公告情况
14-4 主要年份技术市场基本情况
14-5 技术市场基本情况
14-6 各单位技术买卖情况
14-7 主要年份各类学校数
14-8 主要年份各类学校专任教师数
14-9 主要年份各类学校在校生数
14-10 主要年份各类学校招生数
14-11 主要年份各类学校毕业生数
14-12 每万人口拥有在校学生数
14-13 平均每一专任教师负担学生数
14-14 各类文化事业机构数
14-15 规模以上非工业企业科技活动情况
主要统计指标解释
卫生、体育与其他
15-1 主要年份卫生事业基本情况
15-2 每千人拥有卫生机构情况
15-3 按经济类型分卫生事业基本情况
15-4 各类卫生事业机构医疗床位数
15-5 各类卫生事业机构数
15-6 各类卫生事业机构卫生技术人员数
15-7 各类卫生事业机构医生数
15-8 各类医院数
15-9 各类医院卫生技术人员数
15-10 各类医院医生数
15-11 各类医院护士数
15-12 各类医院医疗床位数
15-13 县及县以上医院工作基本情况
15-14 各类医院工作基本情况
15-15 体育设施情况
15-16 县级以上运动会
15-17 获国际和全国比赛冠军数
15-18 律师 公证 调解工作基本情况
15-19 国内公证文书办理情况
主要统计指标解释
城市比较
16-1 全省及九个设区市主要经济指标
16-2 全国26个省会城市主要经济指标
16-3 福州与15个副省级城市主要经济指标
附 录
2018年百家乐赌场国民经济和社会发展统计公报
电竞博彩
在线百家乐
十大网赌平台排名
推薦娛樂城
博彩平台排行
十大博彩公司网站app软件下载